个人首页   天宝鉴赏   陨石博览   雷墨精品   资源开发   探索发现   视频分享   与我交流
Geology | 潘卿、肖智勇等:澳亚玻陨石仅限于层状区域的向东延伸
时间:2026-02-28 22:05:00   信息来源 : 转载自 战略性关键金属科普平台 当前位置:    首页 >> 探索发现 > 论文专著

 Geology | 潘卿、肖智勇等:澳亚玻陨石仅限于层状区域的向东延伸

以下文章转载自行星科学,作者潘卿、肖智勇等

摘要:


探寻78.8万年前形成澳亚撞击玻璃(tektite;俗称雷公墨)的母坑,被誉为地球与行星科学领域的世纪疑题。基于华南澳亚撞击玻璃的空间分布和地层赋存特征的研究,本文发现:海南省西南部一片面积约6300km2的区域符合芒农型撞击玻璃的富集区特征;由此建立了此类撞击玻璃富集区沿撞击体入射轴对称分布的观测依据。据此,本研究将澳亚撞击玻璃母坑的位置限定在中国南海西北部的莺歌海盆地,推测母坑可能已被数百米厚的陆源碎屑物掩埋。


    78.8万年前,一个直径约1km的小天体沿西北东南方向撞击地球,形成了地球上已知面积最大、最年轻的远撞击溅射玻璃(后简称:撞击玻璃)散布区(1):澳亚散布区(Australasian Strewn Field)。此次撞击事件引发的地质灾害可能严重影响了区域气候和古人类演化。澳亚散布区的边界整体沿撞击入射方向呈轴对称(1)。根据区内不同类型的撞击玻璃的空间密度、成分和同位素的空间分布特征,一般认为其母坑位于中南半岛附近,直径超过30km。但是,过去半个多世纪的搜寻未得到可信的位置,其母坑位置被誉为地球与行星科学领域的世纪疑题。

保守估计澳亚散布区内存在约1亿吨撞击玻璃,其中,芒农型撞击玻璃发育内部纹层(2),因而也被称为“层状撞击玻璃(Layered tektites)”。相比区内的其他撞击玻璃(飞溅型、重熔融飞溅型和微撞击玻璃),芒农型撞击玻璃的体积最大、受冲击程度最弱、并且最接近母坑。前人的地质调查发现,在横跨越南中部、老挝南部和泰国东北部的一片区域内,仅存在芒农型撞击玻璃,而不存在其他类型的撞击玻璃,称为layered-only zoneLOZ)。由于LOZ距离母坑最近,长期以来,母坑的搜寻工作主要围绕该LOZ及其周边地区展开。

但是,一个突出的科学问题是:为何整个散布区内仅存在一个LOZ?沿着撞击体入射方向为何没有另一个LOZ?这是以往地质调查常常忽略的问题,却对探寻其母坑位置具有重要意义。

图片

 1. 澳亚散布区layered-only zone的分布范围。图中所示中南半岛一侧的芒农型和飞溅型撞击玻璃位置信息来自前人文献华南一侧的澳亚撞击玻璃位置信息来自本研究。红色虚线标示莺歌海宋红盆地边界

20162024年间,中山大学行星地质课题组对华南地区的澳亚撞击玻璃开展了连续野外考察和样品分析(2)。联合合作伙伴,在广东、广西、海南、云南四省的早中更新世地层中采集了超过760枚澳亚撞击玻璃(包括飞溅型和芒农型),为厘清澳亚撞击玻璃在华南地区的空间分布特征和地层赋存状态提供了一手资料。

研究发现,绝大多数澳亚撞击玻璃赋存在北海组中,该地层单元广泛分布在广东、广西、海南的滨海地带,时代为早更新世晚期到中更新世早期。厚度数厘米到数十厘米的粗砂砾层将北海组分为上下两段,澳亚撞击玻璃通常出现在砂砾层顶部(2A-E),与泰国、老挝的样品的地层产出相似。在所有样品中,芒农型撞击玻璃的质量分布范围最大(2F-J),既有数十克的碎片,也有数千克的块状样品,最大的一块样品质量为24kg2F-G),与泰国东北部发现的迄今为止最重的芒农型样品(24kg)相当。

图片

2. 华南芒农型撞击玻璃的地层赋存状态和形貌特征。(AE) 芒农型撞击玻璃赋存在北海组中部砂砾层中。(FG) 华南已知最重的芒农型撞击玻璃样品。(HJ) 具有层状结构的华南芒农型撞击玻璃。

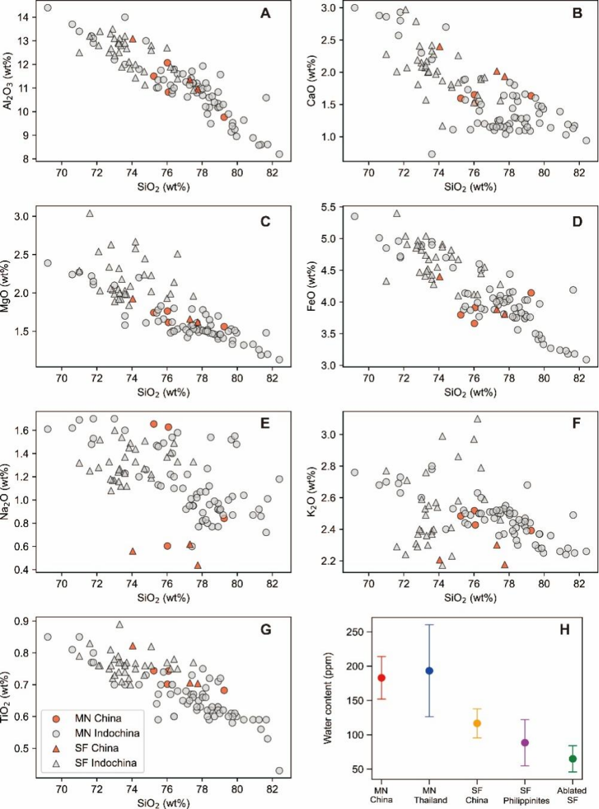
通过主量元素和水含量确认华南样品属于澳亚撞击玻璃之后(3),本研究注意到海南省西南部(三亚、乐东、保亭、东方)存在一处面积约6300km2的特殊区域,区内只有芒农型撞击玻璃,由此区域向北,芒农型撞击玻璃稀少,飞溅型撞击玻璃为主(1)。借鉴芒农型和飞溅型撞击玻璃在中南半岛的空间分布,本研究确认海南省西南部存在一处新的LOZ1)。

图片

3. 华南和中南半岛芒农型和飞溅型撞击玻璃的主量元素和水含量。

海南省与中南半岛的两处LOZ沿西北东南撞击入射方向两侧对称分布,符合类地天体表面倾斜撞击形成的溅射物两侧对称分布模式(4)。值得注意的是,倾斜撞击之后,近端溅射物在上下靶区不对称分布,上靶区方向普遍缺失近端溅射物(4),这对应于越南北部、广西、云南缺少芒农型撞击玻璃。综合以上发现,本研究将澳亚散布区母坑位置限定在中国南海西北部的莺歌海宋红盆地(1)。该盆地目前被数十米深的海水覆盖,受盆地持续沉陷的影响和周围陆源碎屑的补给,大约79万年至今,盆地内沉积了厚约数百米的沉积物。本研究推测撞击坑可能被巨厚的沉积物掩埋,这为母坑探寻提供了新方向

图片

4. 类地天体表面倾斜撞击形成的两侧对称分布的溅射物。(A) 月球Proclus撞击坑。(B) 水星Hovnatanian撞击坑。(C) 金星Aurelia撞击坑。(D) 一处未命名的火星撞击坑。

该工作以An eastern extension of the layered-only zone of Australasian tektites为题目发表在学术期刊《Geology》上。论文第一作者是中山大学博士后潘卿,通讯作者是中山大学肖智勇教授。研究工作得到了国家自然科学基金(42241108)的支持。


论文链接:Pan, Q., Xiao, Z., Xu, R., Wu, Y., Yan, P., Hui, H., He, X., Feng, C., Cao, Z., 2026. An eastern extension of the layered-only zone of Australasian tektites, Geologyhttps://doi.org/10.1130/G54080.1

作者:潘卿   编辑:李婧   审核:李阳

 

注:本站编插发表于美国地质学期刊原论文英文版文首截图

 

分享:
 
【发表评论(0)】
Leigongmo of Asia and Australia Expo
地址:海口市海府路73号 E-MAIL:leigongmo@qq.com 琼ICP备18004674号-1
建议使用1024*768以上分辨率,IE或其他兼容浏览器浏览